
Zlatý řez v řeči matematiky
Zlatý řez - základní vzorec, podle něhož byl stvořen svět.
Zlatý řez (latinsky sectio aurea, anglicky golden ratio) je z matematického hlediska označení pro matematický princip, který se nachází v přírodě, vesmíru, v náboženských stavbách a filozorii, hudbě, dokonce i v literatuře, ve zvukových vlnách, všude kolem nás.
Zlatý řez je princip dokonalé harmonie mezi menší a větší částí celku.
Vědecké studie potvrdili, že lidské oko vnímá vše, co obsahuje zlatý řez, jako symbol krásy a harmonie. I když si to lidé často vůbec neuvědomují.



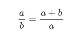
Jako zlatý řez je nejčastěji vnímán jako ideální poměr mezi dvěma úsečkami.
Vznikne rozdělením úsečky na dvě části tak, že poměr větší části k menší je stejný jako poměr celé úsečky k větší části.




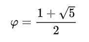
Hodnota tohoto poměru poměr o hodnotě přibližně 1,618 : 1 (resp. 1 : 0,618)

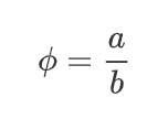
Poměr se vyjadřuje písmenem Phi.



Phi získáme matematickou úpravou:
1. Poměr zlatého řezu:

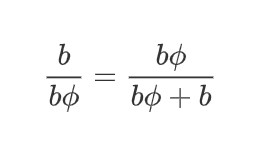
4. Rovnici vykrátíme délkou b:

2. Úpravou výrazu vyjádříme délku a:


5. Rovnici zbavíme zlomků:
3. Dosazením do první rovnice:

6. Převedením členů na jednu stranu získáme kvadratickou rovnici.

Rovnici vyřešíme a dostaneme číselnou hodnotu zlatého řezu. Protože jsme počítali poměr větší části k menší, musí poměr vyjít větší než jedna. Za hodnotu zlatého řezu tedy vezmeme řešení větší jedné, a to 1,618033...